产品中心
相关产品
中药标准品
|
产品编号 |
英文名称 |
CAS号 |
包装 |
|
Y3596 |
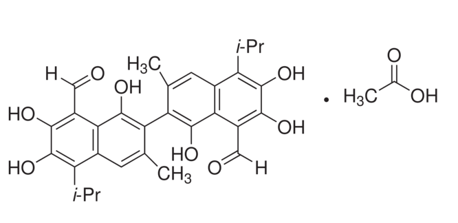
Gossypol-acetic acid |
|
可根据客户要求订制 |
英文名称:Gossypol-acetic acid
CAS号:12542-36-8
分析标准品,98%
分子式 C30H30O8 C2H4O2 分子量578.61

基本信息:
熔点 184-188°C
存贮条件 储存温度 -20°C
描述
别名 醋酸棉酚;1,1',6,6',7,7'-Hexahydroxy-3,3'-dimethyl-5,5'-bis(1-methylethyl)[2,2'-binaphthalene]-8,8'-dicarboxaldehyde-acetic acid
应用 抑制胃蛋白酶原(pepsinogen)向胃蛋白酶(pepsin)的转化
