产品中心
相关产品
中药标准品
|
产品编号 |
英文名称 |
CAS号 |
包装 |
|
Y3597 |
Ginsenoside Rg1 |
22427-39-0 |
可根据客户要求订制 |
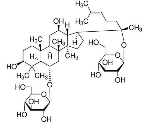
英文名称:Ginsenoside Rg1
CAS号:22427-39-0
分析标准品,>98%
分子式 C42H72O14 分子量801.01

基本信息:
密度 1.33
存贮条件 储存温度 -20°C
描述
别名 人参皂甙 Rg1 ;人参皂苷Rg1;(3β,6α,12β)-3,12-Dihydroxydammar-24-ene-6,20-diyl bis-β-D-glucopyranoside
