小红楼论坛网页版进入,栖凤楼发布信息交流,唐人阁论坛(品茶),小姐威客2025

今天是2025年10月29日 星期三,欢迎光临本站 上海研生实业有限公司 网址: m.r3to.cn

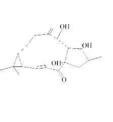
中药标准品

千金子二萜醇

文字:[大][中][小] 2017-4-27    浏览次数:1936    


产品编号
英文名称
CAS号
包装
 Y3661
 Lathyrol  
34420-19-4
可根据客户要求订制
产品编号:Y3661

英文名称:Lathyrol  
CAS号:34420-19-4
分析标准品,>98%  
分子式 C20H30O4 分子量334.45  
  

基本信息:


别名   千金子二萜醇;



返回上一步
打印此页
[向上]

网站首页

公司介绍

产品中心

技术服务

技术文献

在线留言

联系我们

在线客服

售前咨询

售后服务

咨询电话:
021-59989018

请扫描二维码
打开手机站

主站蜘蛛池模板: 灵石县| 公主岭市| 东乡族自治县| 清新县| 汉寿县| 延庆县| 嘉鱼县| 丽水市| 阳曲县| 甘孜县| 丹棱县| 饶河县| 林口县| 杨浦区| 大化| 芜湖市| 崇阳县| 彭山县| 和硕县| 卓资县| 九江县| 中宁县| 乡宁县| 靖安县| 南岸区| 开化县| 内黄县| 奉化市| 平乐县| 盐津县| 永宁县| 河间市| 绥滨县| 溧阳市| 衢州市| 东城区| 满城县| 新密市| 甘南县| 苏州市| 黄大仙区|