产品中心
相关产品
中药标准品
|
产品编号 |
英文名称 |
CAS号 |
包装 |
|
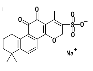
Y3727 |
Sodium Tanshinone IIA |
69659-80-9 |
可根据客户要求订制 |
英文名称:Sodium Tanshinone IIA
CAS号:69659-80-9
分析标准品,≥98%
分子式 C19H17O6S Na 分子量396.393

基本信息:
密度1.209
熔点 209°C-210°C
存贮条件 储存温度 2-8°C
描述
别名 ;Dan Shen ketone 1,6,6-Trimethyl-6,7,8,9-tetrahydrophenanthro[1,2-b]furan-10,11-dione
