产品中心
相关产品
中药标准品
|
产品编号 |
英文名称 |
CAS号 |
包装 |
|
Y3731 |
Stachydrine hydrochloride |
4136-37-2 |
可根据客户要求订制 |
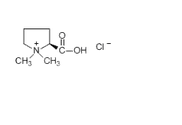
英文名称:Stachydrine hydrochloride
CAS号:4136-37-2
分析标准品
分子式 C7H13NO2?HCl 分子量179.64

基本信息:
敏感性 对空气和湿度敏感
旋光率 -27 ° (C=2, H2O)
熔点 235°C
溶解性 Soluble in cold water (Very ), hot water (Very), and 13 parts alcohol.
存贮条件 储存温度-20°C,充氩保存
描述
别名 ;2-Carboxy-1,1-dimethylpyrrolidinium chloride; Stachydrine HCl
应用 A potentially useful alkaloid for activity screening and an anticancer agent in vitro.
