产品中心
相关产品
中药标准品
|
产品编号 |
英文名称 |
CAS号 |
包装 |
|
Y3741 |
Hederagenin |
465-99-6 |
可根据客户要求订制 |
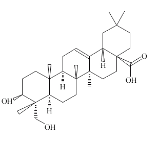
英文名称:Hederagenin
CAS号:465-99-6
分析标准品,≥98%
分子式 C30H48O4 分子量472.70

基本信息:
密度1.14
存贮条件 储存温度2-8℃
描述
别名 常春藤皂苷元 ;常春藤皂甙元,(3beta,4alpha)-3,23-二羟基齐墩果-12-烯-28-酸;(3beta,4alpha)-3,23-Dihydroxyolean-12-en-28-oic acid
存贮条件 储存温度2-8℃
描述
别名 常春藤皂苷元 ;常春藤皂甙元,(3beta,4alpha)-3,23-二羟基齐墩果-12-烯-28-酸;(3beta,4alpha)-3,23-Dihydroxyolean-12-en-28-oic acid
