产品中心
相关产品
中药标准品
|
产品编号 |
英文名称 |
CAS号 |
包装 |
|
Y3742 |
Hemslecin A |
60137-06-6 |
可根据客户要求订制 |
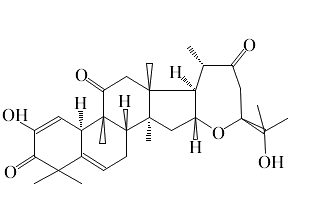
英文名称:Hemslecin A
CAS号:60137-06-6
分析标准品,>98%
分子式 C30H42O6 分子量498.651

基本信息:
描述别名 雪胆素甲 ;雪胆甲素;
应用 清热解毒,健胃止痛。用于胃痛,溃疡病,上呼吸道感染,支气管炎,肺炎,细菌性痢疾,肠炎,泌尿系感染,败血症及其他多种感染。
