产品中心
相关产品
中药标准品
|
产品编号 |
英文名称 |
CAS号 |
包装 |
|
Y3747 |
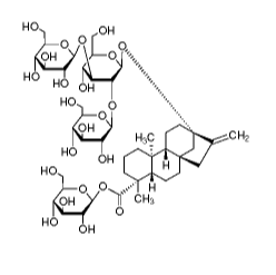
Rebaudioside A |
58543-16-1 |
可根据客户要求订制 |
英文名称:Rebaudioside A
CAS号:58543-16-1
分析标准品,≥97%
分子式 C44H70O23 分子量967.01

基本信息:
密度1.58
描述
别名 A甙甜菊糖 ;瑞鲍迪甙A ;(4α)-13-[(2-O-β-D-glucopyranosyl-3-O-β-D-glucopyranosyl-β-D-glucopyranosyl)-oxy]kaur-6-en-8-oic acid β-D-glucopyranosyl ester
描述
别名 A甙甜菊糖 ;瑞鲍迪甙A ;(4α)-13-[(2-O-β-D-glucopyranosyl-3-O-β-D-glucopyranosyl-β-D-glucopyranosyl)-oxy]kaur-6-en-8-oic acid β-D-glucopyranosyl ester
