小红楼论坛网页版进入,栖凤楼发布信息交流,唐人阁论坛(品茶),小姐威客2025

今天是2025年10月28日 星期二,欢迎光临本站 上海研生实业有限公司 网址: m.r3to.cn

中药标准品

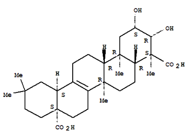
远志皂苷元

文字:[大][中][小] 2017-4-28    浏览次数:2148    


产品编号
英文名称
CAS号
包装
 Y3754
 Senegenin
260-04-4
可根据客户要求订制
产品编号:Y3754

英文名称:Senegenin
CAS号:1260-04-4
分析标准品,≥99%
分子式 C29H44O6 分子量537.13


基本信息:



存贮条件 储存温度2-8℃
描述
别名 远志皂苷元;


返回上一步
打印此页
[向上]

网站首页

公司介绍

产品中心

技术服务

技术文献

在线留言

联系我们

在线客服

售前咨询

售后服务

咨询电话:
021-59989018

请扫描二维码
打开手机站

主站蜘蛛池模板: 平远县| 延长县| 邵阳市| 信宜市| 新巴尔虎右旗| 浦北县| 利川市| 黄龙县| 巴塘县| 六安市| 新营市| 托克托县| 蓬溪县| 交口县| 福鼎市| 景德镇市| 博乐市| 饶阳县| 永春县| 夹江县| 建始县| 利川市| 饶河县| 全南县| 望奎县| 崇左市| 盱眙县| 玉林市| 南陵县| 南昌市| 娄底市| 屏边| 迁西县| 滁州市| 晋宁县| 中西区| 竹山县| 信丰县| 榆社县| 大石桥市| 潞城市|